February 13, 2026 - DMCA Notices Issued

We Built This
Together.

The Flyff private server community - developers, creators, and players who kept the franchise alive for over a decade - speaks out.

Gala Inc. and Wemade Connect issued mass DMCA takedowns against the very community that helped build Flyff Universe. This is our response.

Background

The Origin of Flyff Universe

How a private server developer's passion project became the official game - and how the community that made it possible was later left behind.

Aishiro - The Man Behind It All

Aishiro (aka lsaos), whose real name is Loïc Saos, has been active in the private server scene for many years. Flyff was his first MMORPG, and he fell in love with it. Source

As a computer science student, he wanted to help the private server community, so he developed ATools (AishiroTools) - a set of tools (Model Editor, SFX Editor, World Editor, etc.) that were instrumental in helping the private server scene evolve. He became a celebrated hero in the community for this contribution.

He proudly released ATools as open source on Elitepvpers, the major hub for Flyff private servers at the time, giving everyone free access. Elitepvpers Post

The GitHub repository (github.com/Aishiro/ATools) was removed after he joined Gala.

FlyForFun.io - The First Browser-Based Flyff

Shortly after ATools, lsaos developed the first Flyff browser game and launched it as a private server in beta under the name FlyForFun.io. To this day, FlyForFun.io still works as a URL in the browser but redirects directly to the Universe website.

His original post for FlyForFun.io was deleted, but is preserved through a quote on Elitepvpers. In this thread, lsaos posted updates and changelogs under the name "Loicator2." Archived Thread

From Private Server to Official Game

Gala took the initiative and contacted lsaos to collaborate on "Project M" - the official project name for the Flyff browser game. This is confirmed by users in the Elitepvpers thread.

In a private Discord server, he once mentioned that he was surprised and initially didn't believe the email from Gala was real. He asked for advice from other private server developers and owners about what they thought, before ultimately accepting the offer.

No screenshot exists of this, as lsaos has since deleted all his posts in that Discord server, as well as all DMs with private server people - likely to distance himself from the private server scene after joining Gala.

Flyff Universe was officially released on June 14, 2022. Press Release

Private Server Developers Hired by Gala

Universe began as a private server, made by a developer from the scene, where other private server people helped build it. Over time, Gala hired additional private server developers and officially brought some into the team - for example Frostiae and Nano, among others.

Even today, some people from the private server scene still work on contracts for Flyff Universe (names withheld for privacy). Private server developers are ideal candidates because they know the game intimately and have extensive development experience. Universe leverages this expertise.

Both Frostiae and Nano remain active in the private server scene, particularly in a private Discord server. This underscores how deeply intertwined the private server community and Flyff Universe truly are.

For most private server people, Aishiro/lsaos was considered a hero. He not only provided ATools - which was a game changer for the entire scene - but he also brought Flyff back to life with Flyff Universe. Many in the community looked up to him with genuine admiration and gratitude.

The Publisher

Who Is Wemade Connect?

A company with a controversial track record involving crypto issues and repeated scandals - now in charge of Flyff Universe.

The Publisher Takeover

Wemade Connect became the publisher of Flyff Universe on June 30, 2023. This meant all personal information of all users was shared with Wemade. No user consent was required - though users had the option to decline, at the cost of having their accounts completely terminated. Source

In short: this was a complete transfer of responsibility, not just a normal publisher arrangement. From this point on, Wemade Connect's Privacy Policy and Terms of Service applied to all users.

Copyright Confusion & Blurred Responsibilities

The footer of the Universe website states: "Copyright © 2025 Gala Lab Corp. All Rights Reserved. Published by Wemade Connect co.,ltd" - meaning copyright still belongs to Gala while Wemade is "only" the publisher. This logically contradicts the Privacy Policy and ToS transfer. See Footer

Even more striking: Gala Lab's ToS page shows a "last updated" date of 2018, yet already mentions Wemade Connect - even though the cooperation only began on June 30, 2023. Whether this is intentional misdirection or simply poor organization is unknown, but it is legally critical and misleading. Gala ToS Page

Bottom line: Responsibilities are blurred for users - who is responsible for what? Support, data, monetization, legal claims? This confusion is something Wemade Connect is already known for.

The WEMIX Token Controversy

Wemade had its own crypto token called WEMIX, primarily used in Web3 gaming. There were serious concerns and allegations involving their own token, leading to delisting by major exchanges. Reasons include problems with token distribution and "circulating supply," as well as insufficient or unclear investor information.

Tokens were reportedly sold without proper disclosure to their investors (its all about the money - even if its not legal) , raising questions about market manipulation, with the goal of becoming the leading gaming token.

CEO Indicted

Wemade's CEO was indicted for failing to properly disclose sales and circulation data for WEMIX - according to the prosecution, he omitted critical information. Source

Wemix Foundation Hack (~$6.2M)

In late February 2025, the Wemix Foundation (closely tied to Wemade) fell victim to a hack/exploit worth approximately $6.2 million USD. Critical was the delayed public disclosure - information was made public only days later.

WEMIX Delisted - Again (2025)

In May 2025, South Korean exchanges announced a second delisting of WEMIX - linked to the hack incident and the quality of their disclosures. A court reportedly rejected an emergency injunction attempt and found the delisting grounds to be valid.

A second delisting is extremely rare and reputationally significant - a clear signal of continued governance and transparency concerns surrounding their own token.

Google Security Report on Gala

One year after Wemade became publisher, a security-related incident came to light. Google published a threat intelligence article stating that Gala was part of a hack/leak in which Gala certificates were used for malicious purposes. Google Report

Universe's response essentially said: "Yes, there are true elements here, but Google's information was manipulated to harm the company and mislead players." They then implied nothing was actually leaked and provided no further information. Universe Post

What really happened remains unclear, but it is notable that yet another incident emerged where Wemade Connect was involved as publisher.

Why Does Gala Work With Wemade?

The partnership appears to be driven by business strategy. Wemade is known for aggressive market approaches, which can lead to higher revenue. Gala calls it "strategic alliance deals with Wemade Connect." Gala History

Wemade gets direct access to personal user data (as Gala itself stated), and in exchange, Gala benefits from Wemade's broad reach and aggressive marketing capabilities.

Summary: A pattern of questionable practices, multiple controversies, lack of transparency around security incidents, and aggressive monetization. Wemade has also drawn criticism for games with heavy pay-to-win mechanics.

What Happened

The DMCA Crackdown

How Wemade Connect issued DMCA notices across the entire private server community.

Giant Flyff - The First Strike (February 6, 2026)

On February 6, 2026, Giant Flyff announced on Discord that they received a DMCA email from Wemade Connect and were forced to shut down the server and cease all services immediately. Initially, the entire private server scene questioned whether it was legitimate.

Giant Flyff posted their shutdown notice on Discord, which served as a warning to other private server owners. It was quickly confirmed: the DMCA was real.

Giant Flyff Discord shutdown announcement
Giant Flyff Discord Announcement
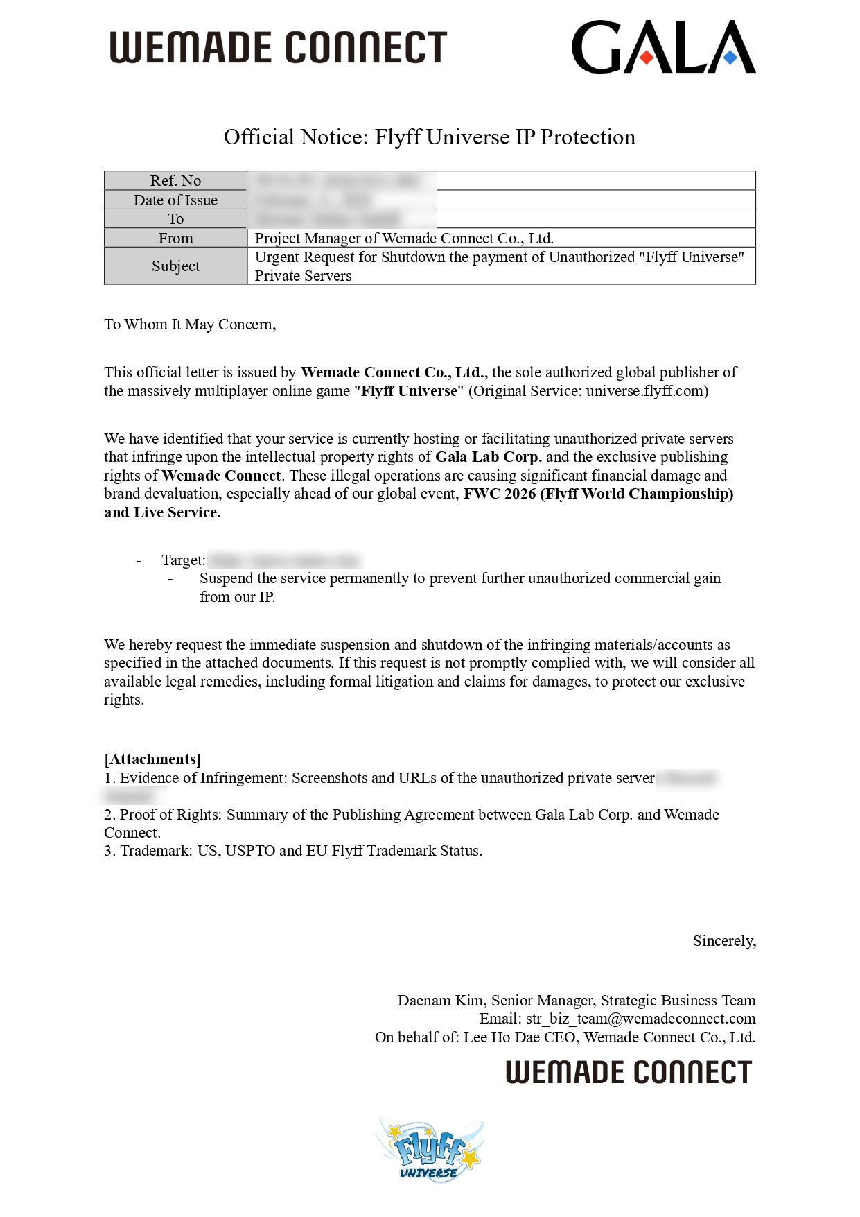
DMCA Email from Wemade Connect
DMCA Email from Wemade Connect (from another private server)

Countermeasures - In Vain

This incident triggered alarm bells for private server owners and developers. Quick countermeasures were taken: removing Flyff assets from websites, removing "Flyff" from logos and website elements. Servers hoped to avoid receiving their own DMCA notices.

Unfortunately, this was in vain. As visible in the DMCA email, Wemade explicitly stated they were aware of these countermeasures and that they would not help. They also stated they had already gathered and researched all important data.

Mass DMCA - February 13, 2026

The exact same email was sent to approximately 90% of all private servers - a DMCA against the entire private server scene.

This means Wemade had been collecting information long beforehand - likely through payment providers, Gala developers present in the private Discord group, and general preparations spanning 1-2 years. This is supported by the fact that emails were also sent to people whose servers had been offline for 1–2 years. Emails were sent to owners who were no longer owners. This proves the action was planned long in advance.

While all of this was being prepared, Gala developers never warned anyone. They remained in the private Discord server as if nothing was happening - some of them even doing freelance work for private servers during this time. In fact, freelancing between Gala/Universe developers and private servers is still happening to this day - some Gala devs continue to do freelance work for private servers even now. The trust was never broken openly; it was quietly exploited.

Initially, it was assumed Giant Flyff might be an isolated case due to their extensive advertising. However, given numerous signs that Gala/Wemade had planned this for a long time (including unconfirmed leaks), many servers had already taken countermeasures after Giant's DMCA.

The PDF Sent to Hosting Providers

The following document (pages screenshotted) was sent to hosting providers and Cloudflare for some servers. It explicitly mentions financial damage but does not request user data - which is suspicious. It also references FWC (Flyff World Championship), suggesting they wanted some servers down before that event.

DMCA PDF Page 1
Page 1
DMCA PDF Page 2
Page 2
DMCA PDF Page 3
Page 3
DMCA PDF Page 4
Page 4
DMCA PDF Page 5
Page 5
DMCA PDF Page 6
Page 6
DMCA PDF Page 7
Page 7
DMCA PDF Page 8
Page 8
DMCA PDF Page 9
Page 9

Current Situation

While around 10 years ago these servers could actually be called "Flyff Private Servers," today the landscape has changed drastically. Some servers appear to be almost completely different games - with custom assets, worlds, and names - while others stay closer to a classic Flyff experience. But all of them are unique in their own way, shaped by years of independent development. The overlap with the original Flyff IP varies greatly, which makes the blanket legal basis of these DMCAs even more questionable (while keeping in mind that Gala/Universe employees literally helped creating those private servers).

Servers hosted in Russia and certain other countries are very likely untouchable by these DMCA notices, as local laws either do not recognize or do not enforce foreign copyright claims of this nature. Additionally, there exist various DMCA-friendly hosting providers that ignore such takedown requests entirely - and some servers, both existing and future ones, are already taking advantage of this.

In other words: the DMCA wave may cause disruption, but it is unlikely to achieve its goal of shutting down the private server scene entirely. Servers will adapt, relocate, and continue - as they always have.

Gala and Wemade hope to increase their revenue through these actions, but there is a reason - and always has been - why not everyone plays on official servers. Whether it's the heavy pay-to-win monetization, the excessive grind, unresolved bugs, exploits, and dupes (particularly on Flyff PC), or simply a lack of trust in the company behind it - players have their own reasons for choosing alternatives. Shutting down private servers won't change that.

Private servers are standing together. Despite being competitors, they are advising each other, sharing information, and helping wherever possible. Perhaps the only positive outcome of this entire situation.

Why It Hurts

The Betrayal

Why private server owners and developers feel let down after years of mutual collaboration.

Years of Active Collaboration

Gala's developers actively helped promote and foster private servers by assisting people in the shared Discord group, answering questions about the game and its code, and sharing tools. For many years, it seemed Gala acknowledged what private servers meant for the franchise.

Most Flyff owners and developers, alongside Gala devs, were in a shared Discord server where they helped each other, discussed topics beyond Flyff, and genuinely had fun together. The line between "official" and "community" was intentionally blurred - because both sides benefited.

A concrete example: Frostiae (a Universe developer) created an O3D Tool for Blender and made it available specifically for private server people. It remains online to this day. GitHub Repository

The Discord Betrayal

In hindsight, it appears that the shared Discord server may have been used to gather information about private server owners - while the relationship felt like genuine friendship and collaboration - only for legal action to follow.

At the time of Giant Flyff's DMCA, lsaos/Aishiro left this Discord server without a word and completely deleted all his messages - likely to distance himself from the private server community.

All private server topics were also systematically deleted on the Universe Discord. While perhaps considered normal, it's worth noting that private servers were "officially" never welcome - despite the reality being entirely different behind the scenes.

Aishiro's Choice

It appears lsaos/Aishiro made a choice. Instead of advocating for the private server community, he chose to align himself fully with Gala - despite being the person who published ATools, who created the browser game that became Universe, and who brought fresh life and countless players to the entire scene.

This shift began around mid-2025 when he became Vice President at Gala (as shown on GetProg, LinkedIn and GitHub).

The Core of It

Gala has profited enormously because of private servers. Both lsaos and many other private server people were actively involved in building Universe. Private servers kept Flyff alive for many years when Flyff PC was effectively dead - largely due to heavy monetization (pay-to-win) and unresolved exploits and dupes.

It is clear that Gala owes a great deal to private servers. For many years, it seemed they acknowledged this. But in the end, the community that helped build Flyff was left behind.

These are the reasons why private server owners and developers feel let down. After years of collaboration and mutual benefit, the community was cast aside. Yes, private servers are technically illegal - no one disputes that. But is this behavior fair? Is it humane? To build friendships, accept help, profit from a community for years - and then turn around and take legal action against the very people who made it all possible? How can that be accepted in any human way? - This is what hurts..

Consequences

The Damage

What led to this, and the consequences for players, servers, and the entire Flyff ecosystem.

Why Now? The Bot Ban Fallout

Since Wemade became publisher, several things changed - primarily related to money. The "botting" issue was key. Universe was plagued with bots, and detecting them in a browser context is technically extremely difficult. They developed an advanced anti-bot system that actively tracked botters.

This resulted in an estimated 35–40% of all players being banned, including many legitimate players who never botted. Players who unknowingly bought botted items from the player shop were often falsely banned too.

The anti-bot system couldn't be precise enough and removed many legitimate players. This was hotly debated, especially on Reddit:

There are countless similar posts. Discussions on the Universe Discord were often simply deleted.

Player numbers dropped drastically, so large ban waves stopped (according to Users, especially noticable when browsing through their offical Discord Server). They presumably hoped Universe's "full of bots" reputation would fade. But since many players left, other measures were needed.

DMCA as a Revenue Strategy

The next measure: DMCA private servers. The goal is to shut down as many private servers as possible so players move to official servers, increasing revenue. As Wemade themselves stated in their PDF, the DMCAs are about money.

Gala did not act against private servers before because it was legally difficult and costly. Their focus is therefore on reporting to providers and services - not actual litigation.

Damage to the Flyff Ecosystem

If private servers largely disappear, this damages Flyff itself. Universe is big and successful, especially around FWC. But countless players prefer alternatives to Gala's monetization model while still loving Flyff - that's one of the main reasons private servers exist. These players may feel pushed toward Universe, even though they have their own reasons for preferring private servers.

The reality will likely be that these players either switch to other Flyff private servers or quit entirely. It's unlikely that players will simply move to Universe or Flyff PC when they have their own reasons for preferring private servers.

The Ripple Effects

Extreme Player Skepticism

"Why still play private servers if they'll all go down soon?" Players constantly asking servers: "Are you going down too?"

Rumors & Distrust

Countless rumors circulating, including that some large private servers are allegedly working with Gala in exchange for being allowed to continue.

Donations Dropping

Willingness to donate on private servers plummets because players think the servers will shut down anyway.

Livelihoods Destroyed

Some servers have existed for many years. Their owners poured their hearts into them and lived off the income. Now that's being taken away.

0
Years of Community
~90%
Servers Got DMCA'd
100%
Trust Abused
0
Official Statements
Our Position

Our Statement

To Gala Inc., Wemade Connect, and the entire Flyff community:

This was written together - by developers, server operators, contributors, and players who poured their hearts into this franchise. Some of us for five years. Some for over a decade. We say this openly, because we have nothing to hide. We loved this game. We still do.

We grew up with Flyff. We learned to code because of it. We built communities, made lifelong friends, stayed up countless nights fixing bugs, creating content, keeping servers alive - not for money, but because Flyff meant something to us. It was more than a game. It was home.

Gala should work with private servers, not against them. They could set clear rules. They could let us coexist. They could even take a share of revenue - we would have welcomed that. It could have been a win for everyone. Instead, they chose to destroy everything. Without a word. Without a warning. Without any respect for what we built together.

This is hurting Flyff itself. We believe Wemade is likely the driving force behind this - given their track record of aggressive and questionable business practices. They may have pressured Gala into going along with it. But regardless of who pushed the button - the damage is done.

Yes, private servers are technically illegal. We know that. We don't dispute the legal right. But legality and morality are not the same thing. You befriended us. You joined our Discord. You helped us build our servers. You laughed with us, shared knowledge with us, some of you even did freelance work for us. And then you turned all of that into a legal weapon against us. How is that okay?

We are not here to start a war. We are not here to incite hatred. We are here because we are heartbroken. Nearly every single person we have spoken to - developers, players, even people outside the Flyff scene - shares the same feeling: this is deeply, fundamentally wrong.

We demand transparency. We demand acknowledgment. We demand that the people who kept this franchise alive - through the darkest years when no one else cared - be treated with the respect and dignity they have earned. You owe us that much.

- The Flyff Private Server Community

Get Involved

Take Action

Here's how you can help ensure our voice is heard.

Spread the Word

Share this page on social media, forums, Discord servers, and gaming communities. The more people know, the louder our voice becomes.

Contact the Press

Reach out to gaming journalists and publications. We've compiled a list of relevant contacts below. Every voice adds weight to the story.

Share Your Story

If you've been affected by the DMCA takedowns, document your experience. Your story matters and adds to the collective evidence.

Get In Touch

Contact Us

If you have information, want to share your story, or simply want to reach out - we're here.

Gala, Wemade, or any representative is welcome to contact us for an official statement or dialogue. We are open to conversation. Anyone else - journalists, players, developers, community members - feel free to reach out as well.

Contact Us

contact@wemadeflyff.com

Save This Page

Feel free to download this entire page as a ZIP file - including all images and evidence. Keep a copy in case this site is ever taken down. Spread it, mirror it, make sure the truth stays accessible.

Contains the full page, CSS, JavaScript, and all evidence images.